Frontpage
Exam papers
Courses
Projects
dADS2
dBerLog
dDist
dOpSys
dRegAut
dSoftArk
dSik
IntMatMod
LinAlg
MatMod
AiBTaS
AiBS
dKS
DB2
VM
StrAlg
SV
P2PN
Here are my cues made for
dSik
.
I have simply scanned all the papers which I have written, and you can freely use them.
There was only six exam questions, which were:
Cryptography, confidentiality
Cryptography, authentication
Key management and Infrastructures
Network Security
System Security and Models for Security Policies
Threats and Pitfalls
Confidentiality
Overview
Cryptosystem
CBCCounter mode
RSA
Public key to secret key
Authentication
Overview
Cryptosystem
CBC-MAC
HMAC
Digital signatures
Replay
Key management and Infrastructures
Two-level hierachy
Key Destribution Center
Certificate Authority
Certificate chains
Password security
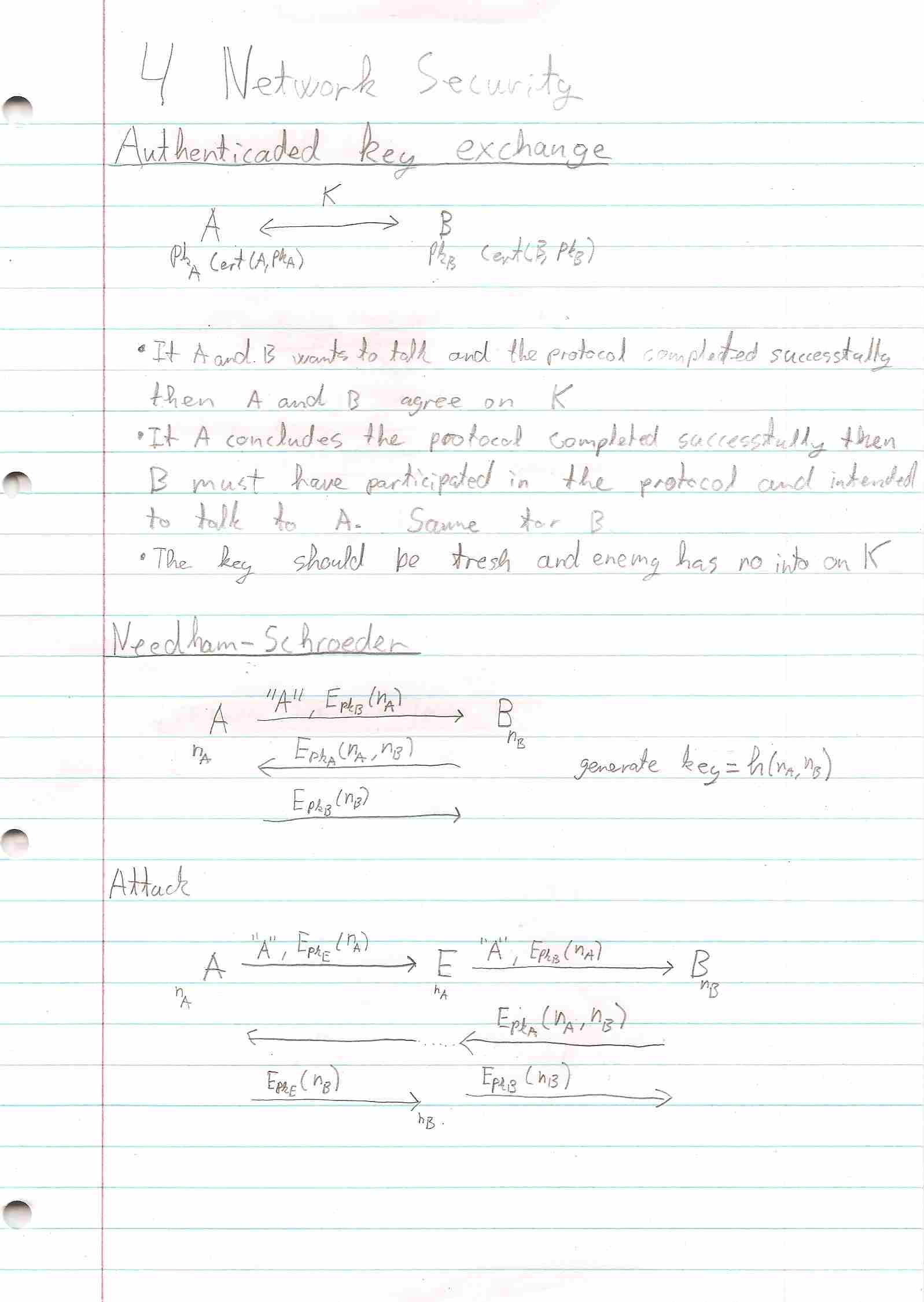
Network Security
Authenticated Key Exchange
Needham-Schroeder
Secure Sockets Layer
IPsec
System Security and Models for Security Policies
Firewalls
Lattice
Bell-Lapadula
Biba
Threats and Pitfalls
STRIDE
IBM 4758
Buffer overflows
SQL injection (not in curriculum!)
Last modified 10. October 2016
foens
Dont spam me
@cs.au.dk