Picture of me as Student
dADS2
dBerLog
dDist
dOpSys
dRegAut
dSoftArk
dSik
IntMatMod
LinAlg
MatMod
AiBTaS
AiBS
dKS
DB2
VM
StrAlg
SV
P2PN
Introduction to Languages and the Theory of Computation 3. edition. Here are my cues made for dRegAut.
I have also included all my notes I was going to put on the blackboard. I am pretty sure it is all correct, but you better check it yourself.
It is listed as on the webpage when I took the course, which was like this:
  1. regulære udtryk
  2. endelige automater
  3. lukkethedsegenskaber
  4. nondeterministiske automater
  5. minimering af automater
  6. begrænsninger af regulære sprog
  7. kontekstfri grammatikker

Regulære udtryk

Endelige automater

Lukkethedsegenskaber

Nondeterministiske automater

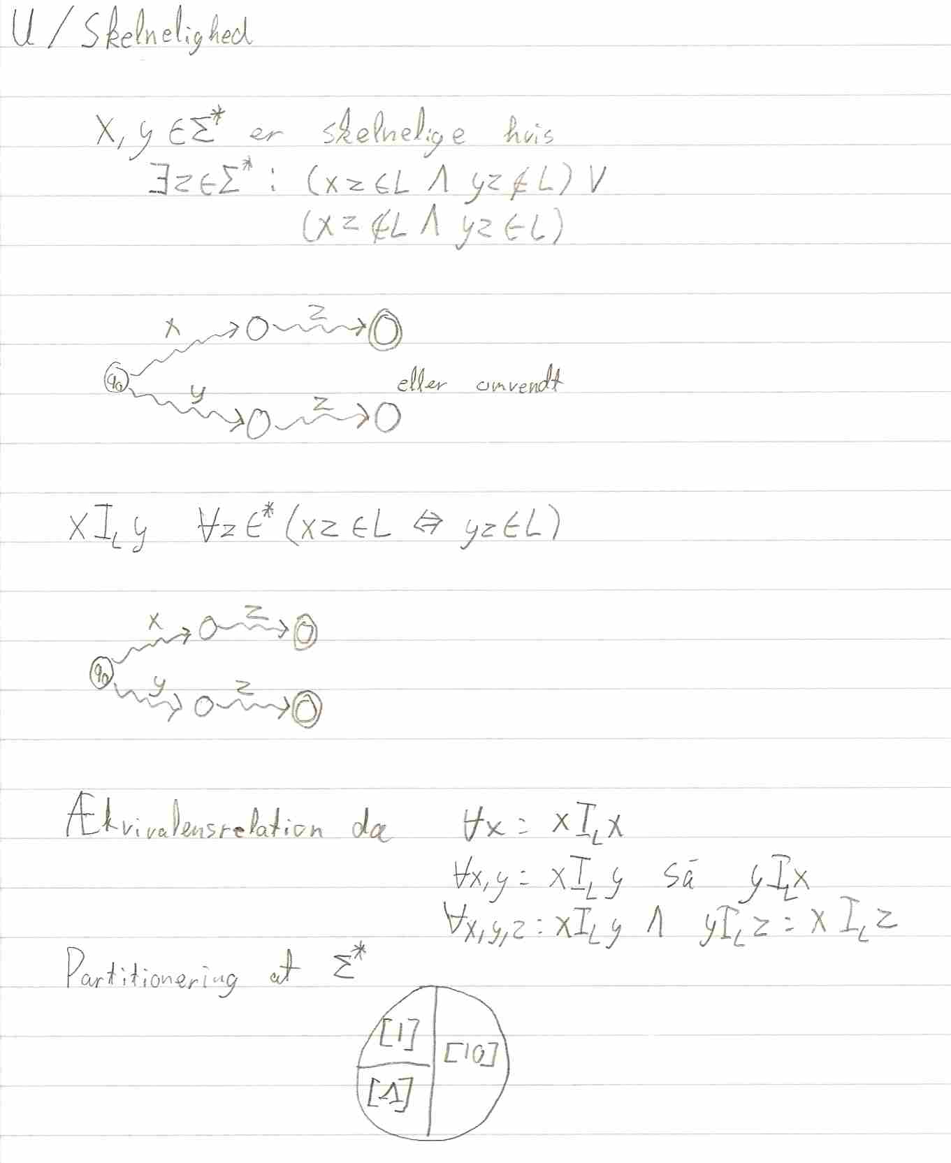
Minimering af automater

Begrænsninger af regulære sprog

Kontekstfri grammatikker

Last modified 10. October 2016 foens Dont spam me @cs.au.dk Valid XHTML 1.1 Valid CSS